Osilatör Nedir ?
Osilasyon(Salınım): Herhangi bir nesnenin belli bir değere göre iki durum arasında zamana göre tekrarlanan değişimidir. Elektronik sistemlerde ise zaman içerisinde yönü ve şiddeti belli bir düzen içerisinde değişen sinyallere osilasyon denir.
Osilasyon elektronik devrelerde istenmeyen bir olaydır. Devre çıkışında oluşan fazla osilasyon zararlı olabilir. Bu nedenle osilasyonu azalatmak için elektronik devreler kullanılır. Fakat bu osilasyonların gerekli olduğu sistemlerde vardır. Bu nedenle osilasyon sinyalleri üreten devrelere ihtiyaç vardır. Bu devrelere osilatör devresi denir.
Osilatörler: Belli frekanslarda kare, sinüs, üçgen veya testere dişi biçiminde sinyal üreten, geri beslemeli amplifikatör(yükseltici) devrelerdir. Ayarlandığı frekansta ya da sabit bir frekansta sürekli çıkış veren devrelerdir.
Osilatörler, dc enerjiyi eşdeğer ac enerjisine dönüştüren enerji dönüştürücüdür. Osilatör çıkışındaki ac sinyalinin frekans aralıkları birkaç Hz ile birkaç GHz arasında değişir.
Osilatörün Blok Şeması
Osilatör, pozitif geri besleme devresi ile amplifikatörden oluşur.
Burada geri besleme ağı, frekans seçici devredir. Blok diyagramında amplifikatör devresinden önce kullanılan salınımlı devrenin LC tank devresi, RC ağı veya kuvars kristali olabileceğine dikkat edilmelidir.
Amplifikatör, temel olarak kaynak tarafından sağlanan dc voltajı ac gücüne dönüştürür. Bu ac sinyali daha sonra bir geri besleme yolu ile tank devresine gönderilir. Ayrıca, tank devresinin salınımları ile amplifikatör beslenir. Amplifikatör, uygulanan giriş terminalinde güçlendirildiği'den, amplifikatör'ün çıkışında, uygulanan dc voltajı nedeniyle yükseltilmiş salınımlar elde edilir.
Osilatörün Çalışması
Aşağıdaki devre osilatörün geri besleme devresidir:
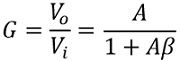
Vi, A kazancına sahip amplifikatör'ün terminaline uygulanan giriştir. Ayrıca, bir geri besleme ağı kullanılır. Bu geri bildirim ağında geri bildirim fonksiyonu vardır: β. Amplifikatör'ün çıkışı Vo ve geri besleme ağının çıkışı Vf'dir.
Burada β temel olarak girdiye geri bildirim olarak sağlanan çıktı fonksiyonunu tanımlar.
Başlangıçta Vi amplifikatör'ün terminaline kazanç A ile uygulanır. Yani amplifikatör'ün çıkışında:
Bu voltaj daha sonra bir frekansta en yüksek geri bildirime sahip olmak için temelde bir rezonans devresi olan geri besleme ağına verilir.
Bu nedenle, geri besleme amplifikatörünün çıkışında elde edilen sinyal şu şekilde verilir:
Çünkü: V f = βV o ve V o = AV iAmplifikatör ve geri besleme devresi 0° faz kayması getirirse, daha sonra hem geri besleme sinyali hem de giriş sinyali birbiriyle aynı fazda olacaktır.
Şimdi, geri besleme devresinin çıkışı, girişiyle birlikte amplifikatöre uygulandığında, ardından amplifikatörün çıkışındaki sinyal şu şekilde olur:
Diyelim ki, amplifikatör'ün girişinde sadece geri besleme devresinin çıkışını sağlıyoruz ve orijinal olarak uygulanan giriş sinyalini kaldırıyoruz.
Vi'nin çıkarılmasından sonra, sürekli salınımlardan osilatörün döngü kazancı sorumludur.
- Açık döngü kazancı 1'den az ise, yani Aβ <1. Daha sonra bir süre sonra çıktı söner. Çünkü burada AβVi amplifikatöre girdi olarak hizmet eder, bu nedenle bu Vi'den küçük olacak ve Aβ birlikten küçük olacaktır.
Bu nedenle, döngüden her geçtikten sonra sinyalin genliği azalacaktır. Sonuç olarak, salınımlar ortadan kalkacaktır.
- Döngü kazancı 1'den ise, yani Aβ > 1. Bu çıktının birikmesine neden olur. Böylece, döngüden her geçildiğinde, salınımların genliğinde artış fark edilir.
- Şimdi, döngü kazancı 1'e eşitse, yani Aβ = 1 ise, Vf'nin Vi'ye eşit olmasına neden olur. Böylece çıkışta sinyal sürekli bir sinüzoidal dalga formu olacaktır. Bu şekilde, girişin kendisi devre tarafından sağlanır ve dolayısıyla sinüzoidal bir çıktı elde edilir.
Burada, salınımları oluşturmak için başlangıçta döngü kazancının her zaman 1'den fazla olduğu belirtilmelidir. Ancak, sinyal tarafından belirli bir voltaja ulaşıldığında, döngü kazancı1 olur.
Bu, geri besleme amplifikatör devresinin doğrusal olmayan davranışından kaynaklanmaktadır.
Barkhausen Kriterleri
Barkhausen kriterleri, sürekli salınımlar elde etmek için iki koşulu belirtir. Bunlar aşağıda verilmiştir:
- Açık döngü kazancı 1'e biraz daha fazla veya eşit olmalıdır. Bu, Aβ ≥ 1 anlamına gelir.
- Devrenin genel faz kayması 0 olmalıdır. Böylece, giriş ve çıkış sinyali birbiriyle aynı fazda olacaktır.
Bu iki koşul, amplifikatör'ün çıkışında sürekli salınımlar sağlayacaktır. Bu, Barkhausen Kriterleri olarak adlandırılır.
Osilatör Çeşitleri
LC osilatörler
Osilatörün kuvvetlendirici katı için BJT, FET, İşlemsel Kuvvetlendirici gibi aktif devre elemanları kullanılır. Bu elemanların seçiminde osilatörün çalışma frekansı da rol oynar.
LC osilatörler, 100 kHz ve üzeri frekanslar için uygundur. LC osilatörler genellikle yüksek frekanslar üretmek için kullanıldığından genellikle BJT ve FET gibi elemanlar kuvvetlendirici katında tercih edilir.
RC osilatörler
RC osilatörleri RC zaman sabitinin osilasyon frekansını belirlemesine dayanır. LC osilatörlerinin aksine yüksek frekanslar için uygun değildir. RC osilatörler birkaç megahertz frekansına kadar kullanılırlar. Bu nedenle kuvvetlendirici katında işlemsel kuvvetlendiriciler (Op-Amp) da kullanılabilir.
Kristal Kontrollü Osilatörler
Tam ve kararlı osilasyonun sağlanabilmesi için osilatörlerin geribesleme yolu üzerinde piezoelektrik kristal adı verilen doğal yapılar kullanılır. Piezo elektrik kristal aslında bir quartz kristalidir. Bu kristallerden piezoelektrik etkiye sahip bulunanlar bu amaç doğrultusunda kullanılırlar. Bu etki, kristalin üzerine bir AC gerilim uygulandığında mekanik uygulanan frekansta titreşim oluşturur. Bunun tersi de doğrudur. Yani kristal titreşime uğrarsa üzerinde bir gerilim oluşur. Bu kristalin üzerinde en büyük titreşim kendi doğal frekansında oluşur. Bu frekans kristalin fiziksel boyutları ve kesiti ile belirlenir.
Non-sinüsoidal Osilatörler
- Üçgen Dalga Osilatör
- Gerilim kontrollü testere dişli osilatö<rler
- Dolup-Boşalmalı Osilatörler
IC Osilatörler
Günümüz sistemlerinde, ister sinüzoidal ister non – sinüzoidal, osilatör ihtiyacı tümleşik devreler (IC) ile giderilmektedir. Hemen hemen her frekans ve dalga şekline cevap verecek osilatörler tümleşik devre halinde piyasada bulunabilir.
Kaynakça:
https://www.elektrikrehberiniz.com/osilator/osilator-nedir-10019/
https://teknolojiprojeleri.com/elektronik/osilator-nedir-ne-ise-yarar-cesitleri-nelerdir
https://electronicsdesk.com/oscillator.html





